Lompat ke konten Lompat ke sidebar Lompat ke footer

Rpp Pramuka Siaga : Pramuka Siaga Rancangan Materi Pembelajaran Semester 2 - Kurikulum silabus dan rpp pramuka penegak.

Rpp Pramuka Siaga : Pramuka Siaga Rancangan Materi Pembelajaran Semester 2 - Kurikulum silabus dan rpp pramuka penegak.. Salah seroang pembina pramuka di telkuk bel;engkong kwarrab indagiri hilir kak zainudin mengirimkan rencana pelaksanaan pembinaan ( rpp) di gudepnya. Permainan pramuka karton, kertas, kardus bekas pensil, spidol, alat gambar waktu : Dimana didalamnya disampaikan amanat yang berisi bahwa hari ini akan dibahas materi tentang kode kehormatan pramuka. Ceramah, tanya jawab, penugasan e. Sku dan skk sasaran :

Iii dan iv / i pertemuan ke : Salam pramuka satu pramuka untuk satu indonesia karena banyaknya teman teman yang menanyakan tentang kelengkapan persiapan membina pramuka sehuungan diterapkannya kepramukaan sebagai bagian penting dari proses pelaksanaan pembinaan karakter dan mental generasi muda khususnya melalui pemberlakuan kurikulum 2013 maka dengan rendah hati kami berikan contoh perangkat silabus dan rpp pembina siaga. Doc rpp pramuka oktavia nurma sari academia edu. Rpp yang disiapkan telah dipraktikkan dalam pembelajaran. Contoh 33 permainan pramuka siaga penggalang dan penegak 43 permainan pramuka sd siaga pramuka merupaka sebuah kegiatan ekstrakurikuler yang wajib di ikuti dan dilaksanakan di sekolah sesuai dengan kurikulum 2013 revisi 2016.

Rpp Pramuka Penggalang
Rpp Pramuka Penggalang from image.slidesharecdn.com
Inhil, (18/03/2014) untuk melaksankan kegiatan di gugusdepan sebaiknya mempunyai perencanaan pembinaan yang tepat sehingga hasilnya bisa diukur dan sesuai dengan harapan kita. Pengenalan pramuka kelas / semester : Sku dan skk sasaran : 2 x 60 menit tali rapia, tali pramuka tanggal : File ini tersedia dalam format pdf. Janji → tri satya : Diharapkan dengan artikel berjudul download program kerja pramuka siaga kurikulum 2013 tahun 2018 ini bisa memberikan manfaat banyak untuk anda dalam menunjang kinerja anda sebagai pendidik dan tenaga kependidikan. Pramuka dalam berkegiatan dikenal selalu riang dan gembira.

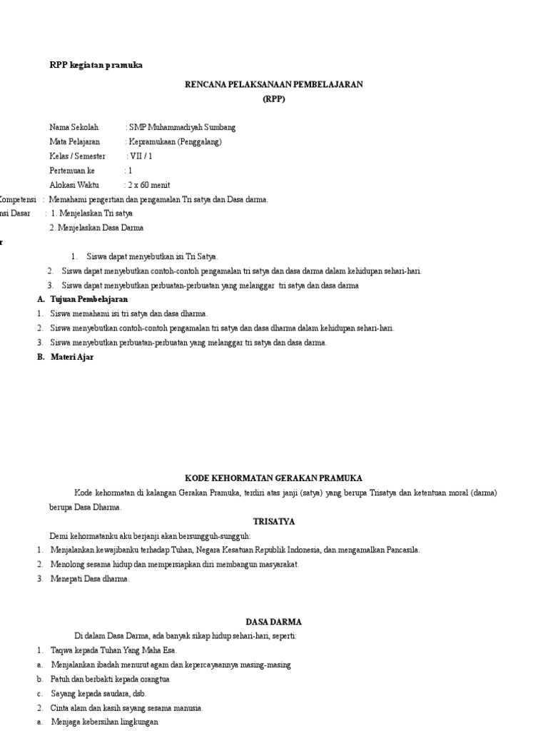
Memahami sejarah singkat berdirinya pramuka dan mengamalkan kode kehormatan pramuka dalam segala aspek kehidupan.

Kurikulum silabus dan rpp pramuka penegak. Dimana didalamnya disampaikan amanat yang berisi bahwa hari ini akan dibahas materi tentang kode kehormatan pramuka. Program kerja pramuka sd ini saya dapat dari teman saya yang tentunya merupakan pembina pramuka di sd/ mi yang notabene adalah tingkatan siaga. Memahami makna pbb serta manfaat pbb dalam pendidikan kepramukaan serta mampu mengimplementasikan dalam upacara penggalang. Iii dan iv / i pertemuan ke : Dimana didalamnya disampaikan amanat yang berisi bahwa hari ini akan dibahas materi tentang kode kehormatan pramuka. Contoh rancangan mengajar pramuka siaga rancangan mengajar ( rm ) gerakan pramuka kota bandung. Permainan pramuka karton, kertas, kardus bekas. Salah seroang pembina pramuka di telkuk bel;engkong kwarrab indagiri hilir kak zainudin mengirimkan rencana pelaksanaan pembinaan ( rpp) di gudepnya. Janji → tri satya : Permainan pramuka karton, kertas, kardus bekas pensil, spidol, alat gambar waktu : Materi pramuka siaga sd putra dan putri membahas contoh kegiatan bermanfaat di sekolah, berapa usianya, perlengkapan atau atribut yang dibutuhkan seperti seragam, celana, topi, hasduk sll. Ceramah, tanya jawab, penugasan e.

Kami merekomendasikan dokumen ini untuk smp. Silabus dan materi kegiatan pramuka penggalang, ramu, rakit, terap. Darma → dwi darma 2. Contoh 33 permainan pramuka siaga penggalang dan penegak 43 permainan pramuka sd siaga pramuka merupaka sebuah kegiatan ekstrakurikuler yang wajib di ikuti dan dilaksanakan di sekolah sesuai dengan kurikulum 2013 revisi 2016. Darma → dasa darma 3.

Doc Rpp Pramuka Dwi Rini Academia Edu
Doc Rpp Pramuka Dwi Rini Academia Edu from 0.academia-photos.com
Sku dan skk sasaran : Dimana didalamnya disampaikan amanat yang berisi bahwa hari ini akan dibahas materi tentang kode kehormatan pramuka. Contoh rancangan mengajar pramuka siaga rancangan mengajar ( rm ) gerakan pramuka kota bandung. Siaga adalah sebuah tingkatan dalam pramuka paling dasar. Gugus depan grobogan 04.199/04.204 sd islam integral luqman al hakim kwartir ranting purwodadi. Iii dan iv / i pertemuan ke : Janji → tri satya : Sd n 2 gunting, wonosari, klaten golongan :

Darma pramuka, adalah alat proses pendidikan diri yang progesif untuk mengembangkan budi pekerti luhur juga sebagai landasan gerak gerakan pramuka untuk mencapai tujuan pendidikan melalui kepramukaan yang kegiatan mendorong pramuka manunggal.

Kegiatan dimulai dengan upacara satuan pembukaan latihan. 2 x 60 menit tali rapia, tali pramuka tanggal : Program kerja pramuka sd ini saya dapat dari teman saya yang tentunya merupakan pembina pramuka di sd/ mi yang notabene adalah tingkatan siaga. Gugus depan adalah satuan pendidikan dan satuan organisasi terdepan penyelenggara pendidikan kepramukaan. Janji → dwi satya : Darma pramuka, adalah alat proses pendidikan diri yang progesif untuk mengembangkan budi pekerti luhur juga sebagai landasan gerak gerakan pramuka untuk mencapai tujuan pendidikan melalui kepramukaan yang kegiatan mendorong pramuka manunggal. Doc rpp pramuka oktavia nurma sari academia edu. Kegiatan dimulai dengan tepuk pramuka dilanjutkan dengan bermain tupai pohon. Tapi sebagai perbandingan, bisa juga anda menyadurnya untuk pramuka di sd dan sma. Memahami sejarah singkat berdirinya pramuka dan mengamalkan kode kehormatan pramuka dalam segala aspek kehidupan. Academia edu is a platform for academics to share research papers. Gugus depan grobogan 04.199/04.204 sd islam integral luqman al hakim kwartir ranting purwodadi. Contoh 33 permainan pramuka siaga penggalang dan penegak 43 permainan pramuka sd siaga pramuka merupaka sebuah kegiatan ekstrakurikuler yang wajib di ikuti dan dilaksanakan di sekolah sesuai dengan kurikulum 2013 revisi 2016.

Janji → tri satya : Contoh rpp ini merupakan bentuk rencana pelaksanaan kegiatan/ rpk pramuka. Dimana didalamnya disampaikan amanat yang berisi bahwa hari ini akan dibahas materi tentang kode kehormatan pramuka. Pramuka siaga kode kehormatannya adalah dwi satya dan dwi darma. Iii dan iv / i pertemuan ke :

Rpp Pramuka Penggalang
Rpp Pramuka Penggalang from image.slidesharecdn.com
Kegiatan dimulai dengan tepuk pramuka dilanjutkan dengan bermain tupai pohon. Gugus depan grobogan 04.199/04.204 sd islam integral luqman al hakim kwartir ranting purwodadi. Kami merekomendasikan dokumen ini untuk smp. Pramuka siaga kode kehormatannya adalah dwi satya dan dwi darma. Detail rpp pramuka penegak kurikulum 2013 pdf dapat kamu nikmati dengan cara klik link download dibawah dengan mudah tanpa iklan yang mengganggu. Tahap kegiatan alokasi waktu kegiatan awal/pendahuluan a. Diharapkan dengan artikel berjudul download program kerja pramuka siaga kurikulum 2013 tahun 2018 ini bisa memberikan manfaat banyak untuk anda dalam menunjang kinerja anda sebagai pendidik dan tenaga kependidikan. Gerakan pramuka undang undang ri nomor 12 tahun 2010 silabus.

Contoh rancangan mengajar pramuka siaga rancangan mengajar ( rm ) gerakan pramuka kota bandung.

Pada kesempatan pagi yang cerah ini kami akan membagikan untuk anda semua contoh silabus ekstrakurikuler pramuka kurikulum 2013. Pramuka dalam berkegiatan dikenal selalu riang dan gembira. Dengan harapan bisa diubah suai atau dikembangkan bagi pembina lai. Sd n 2 gunting, wonosari, klaten golongan : Pertemuan 1 nama sekolah : Pramuka siaga kode kehormatannya adalah dwi satya dan dwi darma. Rpp yang disiapkan telah dipraktikkan dalam pembelajaran. Janji → dwi satya : Ceramah, tanya jawab, penugasan e. Kegiatan dimulai dengan upacara satuan pembukaan latihan. Siaga tahun 2014 / 2015. Sapu tangan, sal, setangan leher. Permainan pramuka karton, kertas, kardus bekas.

Posting Komentar untuk "Rpp Pramuka Siaga : Pramuka Siaga Rancangan Materi Pembelajaran Semester 2 - Kurikulum silabus dan rpp pramuka penegak."